【文数/理数】2017高考大纲原文+修订原因+备考建议
【文数/理数】2017高考大纲原文+修订原因+备考建议【权威发布】
【修订原因】
从整体看,此次数学高考大纲的修订与新课标的修订有关。大家对新课标的修订都已经有所了解,所以老师和学生应该已经有心理准备了,并不突然。
这次修订的大纲删去了“几何证明选讲”选考模块,这对学生来说影响不会很大,因为从往年高考看,这个模块是选考中的一块,而学生多数都不会选择这个模块。
对于数学文化,其实在近两年的高考试题中已经有所体现,只是今年新修订的大纲更加强调。我国古代数学里有大量的实际问题,可以结合函数、数列、立体几何、算法等内容。这些问题同时也体现了应用性的考查,理应引起考生的充分重视。
【命题预测】
2017年高考数学是从3个选考模块中删掉了一个——“几何证明选讲”。2017届考生们只需要从剩下的“坐标系与参数方程”和“不等式选讲”中二选一作答。还算教育部考试中心有点良心是不是?代价也是要有的,新考纲中增加了一项要求是“数学文化”……看到这4个字的时候,你是否也和学习哥一样一脸懵比?
不过大家放心,如果要用文言文来出数学题那就太过分了!顶多以后在做数学题的时候有个题目背景,比如下面这道题就涉及到了《九章算术》中的术语“阳马”和“鳖臑”:
【备考建议】
2017届考生要重视基础知识和基本技能掌握,回归教材,挖掘典型题变式扩展,做到教材上的例题、练习完全过手;要重视思维训练,少搞题海战术,注重书写格式培训,规范表达方式;应该着重抽象思维能力、直观想象能力、逻辑分析能力等方面的训练和提高,不要无目的性地选择大量套题练习,要有意识地选取包含多知识点相融合的题来训练。
在选取训练题方面,老师应该有效帮助学生。
本部分包括必考内容和选考内容两部分.必考内容为《课程标准》的必修内容和选修系列1的内容;选考内容为《课程标准》的选修系列4的“坐标系与参数方程”“不等式选讲”等2个专题.
必考内容
(一) 集合
1.集合的含义与表示
(1)了解集合的含义、元素与集合的属于关系.
(2)能用自然语言、图形语言、集合语言(列举法或描述法)描述不同的具体问题.
2.集合间的基本关系
(1)理解集合之间包含与相等的含义,能识别给定集合的子集.
(2)在具体情境中,了解全集与空集的含义.
3.集合的基本运算
(1)理解两个集合的并集与交集的含义,会求两个简单集合的并集与交集.
(2)理解在给定集合中一个子集的补集的含义,会求给定子集的补集.
(3)能使用韦恩(Venn)图表达集合的关系及运算.
(二) 函数概念与基本初等函数Ⅰ(指数函数、对数函数、幂函数)
1.函数
(1)了解构成函数的要素,会求一些简单函数的定义域和值域;了解映射的概念.
(2)在实际情境中,会根据不同的需要选择恰当的方法(如图像法、列表法、解析法)表示函数.
(3)了解简单的分段函数,并能简单应用.
(4)理解函数的单调性、最大值、最小值及其几何意义;结合具体函数,了解函数奇偶性的含义.
(5)会运用函数图像理解和研究函数的性质.
2.指数函数
(1)了解指数函数模型的实际背景.
(2)理解有理指数幂的含义,了解实数指数幂的意义,掌握幂的运算.
(3)理解指数函数的概念,理解指数函数的单调性,掌握指数函数图像通过的特殊点.
(4)知道指数函数是一类重要的函数模型.
3.对数函数
(1)理解对数的概念及其运算性质,知道用换底公式能将一般对数转化成自然对数或常用对数;了解对数在简化运算中的作用.
(2)理解对数函数的概念,理解对数函数的单调性,掌握对数函数图像通过的特殊点.
(3)知道对数函数是一类重要的函数模型.
4.幂函数
(1)了解幂函数的概念.
5.函数与方程
(1) 结合二次函数的图像,了解函数的零点与方程根的联系,判断一元二次方程根的存在性及根的个数.
(2)根据具体函数的图像,能够用二分法求相应方程的近似解.
6.函数模型及其应用
(1)了解指数函数、对数函数以及幂函数的增长特征,知道直线上升、指数增长、对数增长等不同函数类型增长的含义.
(2)了解函数模型(如指数函数、对数函数、幂函数、分段函数等在社会生活中普遍使用的函数模型)的广泛应用.
(三) 立体几何初步
1.空间几何体
(1)认识柱、锥、台、球及其简单组合体的结构特征,并能运用这些特征描述现实生活中简单物体的结构.
(2)能画出简单空间图形(长方体、球、圆柱、圆锥、棱柱等的简易组合)的三视图,能识别上述三视图所表示的立体模型,会用斜二侧法画出它们的直观图.
(3)会用平行投影与中心投影两种方法画出简单空间图形的三视图与直观图,了解空间图形的不同表示形式.
(4)会画某些建筑物的视图与直观图(在不影响图形特征的基础上,尺寸、线条等不做严格要求).
(5)了解球、棱柱、棱锥、台的表面积和体积的计算公式.
2.点、直线、平面之间的位置关系
(1)理解空间直线、平面位置关系的定义,并了解如下可以作为推理依据的公理和定理.
• 公理1:如果一条直线上的两点在一个平面内,那么这条直线上所有的点都在此平面内.
• 公理2:过不在同一条直线上的三点,有且只有一个平面.
• 公理3:如果两个不重合的平面有一个公共点,那么它们有且只有一条过该点的公共直线.
• 公理4:平行于同一条直线的两条直线互相平行.
• 定理:空间中如果一个角的两边与另一个角的两边分别平行,那么这两个角相等或互补.
(2)以立体几何的上述定义、公理和定理为出发点,认识和理解空间中线面平行、垂直的有关性质与判定定理.
理解以下判定定理.
• 如果平面外一条直线与此平面内的一条直线平行,那么该直线与此平面平行.
• 如果一个平面内的两条相交直线与另一个平面都平行,那么这两个平面平行.
• 如果一条直线与一个平面内的两条相交直线都垂直,那么该直线与此平面垂直.
• 如果一个平面经过另一个平面的垂线,那么这两个平面互相垂直.
理解以下性质定理,并能够证明.
• 如果一条直线与一个平面平行,那么经过该直线的任一个平面与此平面的交线和该直线平行.
• 如果两个平行平面同时和第三个平面相交,那么它们的交线相互平行.
• 垂直于同一个平面的两条直线平行.
• 如果两个平面垂直,那么一个平面内垂直于它们交线的直线与另一个平面垂直.
(3)能运用公理、定理和已获得的结论证明一些空间图形的位置关系的简单命题.
(四) 平面解析几何初步
1.直线与方程
(1)在平面直角坐标系中,结合具体图形,确定直线位置的几何要素.
(2)理解直线的倾斜角和斜率的概念,掌握过两点的直线斜率的计算公式.
(3)能根据两条直线的斜率判定这两条直线平行或垂直.
(4)掌握确定直线位置的几何要素,掌握直线方程的几种形式(点斜式、两点式及一般式),了解斜截式与一次函数的关系.
(5)能用解方程组的方法求两条相交直线的交点坐标.
(6)掌握两点间的距离公式、点到直线的距离公式,会求两条平行直线间的距离.
2.圆与方程
(1)掌握确定圆的几何要素,掌握圆的标准方程与一般方程.
(2)能根据给定直线、圆的方程判断直线与圆的位置关系;能根据给定两个圆的方程判断两圆的位置关系.
(3)能用直线和圆的方程解决一些简单的问题.
(4)初步了解用代数方法处理几何问题的思想.
3.空间直角坐标系
(1)了解空间直角坐标系,会用空间直角坐标表示点的位置.
(2)会推导空间两点间的距离公式.
(五) 算法初步
1.算法的含义、程序框图
(1)了解算法的含义,了解算法的思想.
(2)理解程序框图的三种基本逻辑结构:顺序、条件分支、循环.
2.基本算法语句
理解几种基本算法语句——输入语句、输出语句、赋值语句、条件语句、循环语句的含义.
(六) 统计
1.随机抽样
(1)理解随机抽样的必要性和重要性.
(2)会用简单随机抽样方法从总体中抽取样本;了解分层抽样和系统抽样方法.
2.用样本估计总体
(1)了解分布的意义和作用,会列频率分布表,会画频率分布直方图、频率折线图、茎叶图,理解它们各自的特点.
(2)理解样本数据标准差的意义和作用,会计算数据标准差.
(3)能从样本数据中提取基本的数字特征(如平均数、标准差),并给出合理的解释.
(4)会用样本的频率分布估计总体分布,会用样本的基本数字特征估计总体的基本数字特征,理解用样本估计总体的思想.
(5)会用随机抽样的基本方法和样本估计总体的思想解决一些简单的实际问题.
3.变量的相关性
(1)会做两个有关联变量的数据的散点图,会利用散点图认识变量间的相关关系.
(2)了解最小二乘法的思想,能根据给出的线性回归方程系数公式建立线性回归方程.
(七) 概率
1.事件与概率
(1)了解随机事件发生的不确定性和频率的稳定性,了解概率的意义,了解频率与概率的区别.
(2)了解两个互斥事件的概率加法公式.
2.古典概型
(1)理解古典概型及其概率计算公式.
(2)会用列举法计算一些随机事件所含的基本事件数及事件发生的概率.
3.随机数与几何概型
(1)了解随机数的意义,能运用模拟方法估计概率.
(2)了解几何概型的意义.
(八) 基本初等函数Ⅱ(三角函数)
1.任意角的概念、弧度制
(1)了解任意角的概念.
(2)了解弧度制的概念,能进行弧度与角度的互化.
2.三角函数
(1)理解任意角三角函数(正弦、余弦、正切)的定义.
(6)了解三角函数是描述周期变化现象的重要函数模型,会用三角函数解决一些简单实际问题.
(九) 平面向量
1.平面向量的实际背景及基本概念
(1)了解向量的实际背景.
(2)理解平面向量的概念,理解两个向量相等的含义.
(3)理解向量的几何表示.
2.向量的线性运算
(1)掌握向量加法、减法的运算,并理解其几何意义.
(2)掌握向量数乘的运算及其几何意义,理解两个向量共线的含义.
(3)了解向量线性运算的性质及其几何意义.
3.平面向量的基本定理及坐标表示
(1)了解平面向量的基本定理及其意义.
(2)掌握平面向量的正交分解及其坐标表示.
(3)会用坐标表示平面向量的加法、减法与数乘运算.
(4)理解用坐标表示的平面向量共线的条件.
4.平面向量的数量积
(1)理解平面向量数量积的含义及其物理意义.
(2)了解平面向量的数量积与向量投影的关系.
(3)掌握数量积的坐标表达式,会进行平面向量数量积的运算.
(4)能运用数量积表示两个向量的夹角,会用数量积判断两个平面向量的垂直关系.
5.向量的应用
(1)会用向量方法解决某些简单的平面几何问题.
(2)会用向量方法解决简单的力学问题与其他一些实际问题.
(十) 三角恒等变换
1.和与差的三角函数公式
(1)会用向量的数量积推导出两角差的余弦公式.
(2)能利用两角差的余弦公式导出两角差的正弦、正切公式.
(3)能利用两角差的余弦公式导出两角和的正弦、余弦、正切公式,导出二倍角的正弦、余弦、正切公式,了解它们的内在联系.
2.简单的三角恒等变换
能运用上述公式进行简单的恒等变换(包括导出积化和差、和差化积、半角公式,但对这三组公式不要求记忆).
(十一)解三角形
1.正弦定理和余弦定理
掌握正弦定理、余弦定理,并能解决一些简单的三角形度量问题.
2.应用
能够运用正弦定理、余弦定理等知识和方法解决一些与测量和几何计算有关的实际问题.
(十二)数列
1.数列的概念和简单表示法
(1)了解数列的概念和几种简单的表示方法(列表、图像、通项公式).
(2)了解数列是自变量为正整数的一类函数.
2.等差数列、等比数列
(1)理解等差数列、等比数列的概念.
(2)掌握等差数列、等比数列的通项公式与前n项和公式.
(3)能在具体的问题情境中识别数列的等差关系或等比关系,并能用有关知识解决相应的问题.
(4)了解等差数列与一次函数、等比数列与指数函数的关系.
(十三)不等式
1.不等关系
了解现实世界和日常生活中的不等关系,了解不等式(组)的实际背景.
2.一元二次不等式
(1)会从实际情境中抽象出一元二次不等式模型.
(2)通过函数图像了解一元二次不等式与相应的二次函数、一元二次方程的联系.
(3)会解一元二次不等式,对给定的一元二次不等式,会设计求解的程序框图.
3.二元一次不等式组与简单线性规划问题
(1)会从实际情境中抽象出二元一次不等式组.
(2)了解二元一次不等式的几何意义,能用平面区域表示二元一次不等式组.
(3)会从实际情境中抽象出一些简单的二元线性规划问题,并能加以解决.
(1)了解基本不等式的证明过程.
(2)会用基本不等式解决简单的最大(小)值问题.
(十四)常用逻辑用语
1.命题及其关系
(1)理解命题的概念.
(2)了解“若p,则q”形式的命题及其逆命题、否命题与逆否命题,会分析四种命题的相互关系.
(3)理解必要条件、充分条件与充要条件的意义.
2.简单的逻辑联结词
了解逻辑联结词“或”“且”“非”的含义.
3.全称量词与存在量词
(1)理解全称量词与存在量词的意义.
(2)能正确地对含有一个量词的命题进行否定.
(十五)圆锥曲线与方程
(1)了解圆锥曲线的实际背景,了解圆锥曲线在刻画现实世界和解决实际问题中的作用.
(2)掌握椭圆的定义、几何图形、标准方程及简单几何性质.
(3)了解双曲线、抛物线的定义、几何图形和标准方程,知道它们的简单几何性质.
(4)理解数形结合的思想.
(5)了解圆锥曲线的简单应用.
(十六)导数及其应用
1.导数概念及其几何意义
(1)了解导数概念的实际背景.
(2)理解导数的几何意义.
2.导数的运算
3.导数在研究函数中的应用
(1)了解函数单调性和导数的关系;能利用导数研究函数的单调性,会求函数的单调区间(其中多项式函数一般不超过三次).
(2)了解函数在某点取得极值的必要条件和充分条件;会用导数求函数的极大值、极小值(其中多项式函数一般不超过三次);会求闭区间上函数的最大值、最小值(其中多项式函数一般不超过三次).
4.生活中的优化问题.
会利用导数解决某些实际问题.
(十七)统计案例
了解下列一些常见的统计方法,并能应用这些方法解决一些实际问题.
1.独立性检验
了解独立性检验(只要求2×2列联表)的基本思想、方法及其简单应用.
2.回归分析
了解回归分析的基本思想、方法及其简单应用.
(十八)推理与证明
1.合情推理与演绎推理
(1)了解合情推理的含义,能利用归纳和类比等进行简单的推理,了解合情推理在数学发现中的作用.
(2)了解演绎推理的重要性,掌握演绎推理的基本模式,并能运用它们进行一些简单推理.
(3)了解合情推理和演绎推理之间的联系和差异.
2.直接证明与间接证明
(1)了解直接证明的两种基本方法——分析法和综合法;了解分析法和综合法的思考过程、特点.
(2)了解间接证明的一种基本方法——反证法;了解反证法的思考过程、特点.
(十九)数系的扩充与复数的引入
1.复数的概念
(1)理解复数的基本概念.
(2)理解复数相等的充要条件.
(3)了解复数的代数表示法及其几何意义.
2.复数的四则运算
(1)会进行复数代数形式的四则运算.
(2)了解复数代数形式的加、减运算的几何意义.
(二十)框图
1.流程图
(1)了解程序框图.
(2)了解工序流程图(即统筹图).
(3)能绘制简单实际问题的流程图,了解流程图在解决实际问题中的作用.
2.结构图
(1)了解结构图.
(2)会运用结构图梳理已学过的知识,整理收集到的资料信息.
选考内容
(一)坐标系与参数方程
1.坐标系
(1)理解坐标系的作用.
(2)了解在平面直角坐标系伸缩变换作用下平面图形的变化情况.
(3)能在极坐标系中用极坐标表示点的位置,理解在极坐标系和平面直角坐标系中表示点的位置的区别,能进行极坐标和直角坐标的互化.
(4)能在极坐标系中给出简单图形的方程.通过比较这些图形在极坐标系和平面直角坐标系中的方程,理解用方程表示平面图形时选择适当坐标系的意义.
(5)了解柱坐标系、球坐标系中表示空间中点的位置的方法,并与空间直角坐标系中表示点的位置的方法相比较,了解它们的区别.
2.参数方程
(1)了解参数方程,了解参数的意义.
(2)能选择适当的参数写出直线、圆和圆锥曲线的参数方程.
(3)了解平摆线、渐开线的生成过程,并能推导出它们的参数方程.
(4)了解其他摆线的生成过程,了解摆线在实际中的应用,了解摆线在表示行星运动轨道中的作用.
(二)不等式选讲
1.理解绝对值的几何意义,并能利用含绝对值不等式的几何意义证明以下不等式:
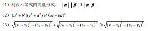
2.了解下列柯西不等式的几种不同形式,理解它们的几何意义,并会证明.
(此不等式通常称为平面三角不等式.)
3.会用参数配方法讨论柯西不等式的一般情形:
4.会用向量递归方法讨论排序不等式.
5.了解数学归纳法的原理及其使用范围,会用数学归纳法证明一些简单问题.
6.会用数学归纳法证明伯努利不等式:
了解当n为大于1的实数时伯努利不等式也成立.
7.会用上述不等式证明一些简单问题.能够利用平均值不等式、柯西不等式求一些特定函数的极值.
8.了解证明不等式的基本方法:比较法、综合法、分析法、反证法、放缩法.
根据普通高等学校对新生文化素质的要求,依据中华人民共和国教育部2003年颁布的《普通高中课程方案(实验)》和《普通高中数学课程标准(实验)》的必修课程、选修课程系列2和系列4的内容,确定理工类高考数学科考试内容.
一、知识要求
知识是指《普通高中数学课程标准(实验)》(以下简称《课程标准》)中所规定的必修课程、选修课程系列2和系列4中的数学概念、性质、法则、公式、公理、定理以及由其内容反映的数学思想方法,还包括按照一定程序与步骤进行运算、处理数据、绘制图表等基本技能.
各部分知识的整体要求及其定位参照《课程标准》相应模块的有关说明.
对知识的要求依次是了解、理解、掌握三个层次.
1.了解:要求对所列知识的含义有初步的、感性的认识,知道这一知识内容是什么,按照一定的程序和步骤照样模仿,并能(或会)在有关的问题中识别和认识它.
这一层次所涉及的主要行为动词有:了解,知道、识别,模仿,会求、会解等.
2.理解:要求对所列知识内容有较深刻的理性认识,知道知识间的逻辑关系,能够对所列知识做正确的描述说明并用数学语言表达,能够利用所学的知识内容对有关问题进行比较、判别、讨论,具备利用所学知识解决简单问题的能力.
这一层次所涉及的主要行为动词有:描述,说明,表达,推测、想象,比较、判别,初步应用等.
3.掌握:要求能够对所列的知识内容进行推导证明,能够利用所学知识对问题进行分析、研究、讨论,并且加以解决.
这一层次所涉及的主要行为动词有:掌握、导出、分析,推导、证明,研究、讨论、运用、解决问题等.
二、能力要求
能力是指空间想象能力、抽象概括能力、推理论证能力、运算求解能力、数据处理能力以及应用意识和创新意识.
1.空间想象能力:能根据条件作出正确的图形,根据图形想象出直观形象;能正确地分析出图形中的基本元素及其相互关系;能对图形进行分解、组合;会运用图形与图表等手段形象地揭示问题的本质.
空间想象能力是对空间形式的观察、分析、抽象的能力,主要表现为识图、画图和对图形的想象能力.识图是指观察研究所给图形中几何元素之间的相互关系;画图是指将文字语言和符号语言转化为图形语言以及对图形添加辅助图形或对图形进行各种变换;对图形的想象主要包括有图想图和无图想图两种,是空间想象能力高层次的标志.
2.抽象概括能力:抽象是指舍弃事物非本质的属性,揭示其本质的属性;概括是指把仅仅属于某一类对象的共同属性区分出来的思维过程.抽象和概括是相互联系的,没有抽象就不可能有概括,而概括必须在抽象的基础上得出某种观点或某个结论.
抽象概括能力是对具体的、生动的实例,经过分析提炼,发现研究对象的本质;从给定的大量信息材料中概括出一些结论,并能将其应用于解决问题或做出新的判断.
3.推理论证能力:推理是思维的基本形式之一,它由前提和结论两部分组成;论证是由已有的正确的前提到被论证的结论的一连串的推理过程.推理既包括演绎推理,也包括合情推理;论证方法既包括按形式划分的演绎法和归纳法,也包括按思考方法划分的直接证法和间接证法.一般运用合情推理进行猜想,再运用演绎推理进行证明.
中学数学的推理论证能力是根据已知的事实和已获得的正确数学命题,论证某一数学命题真实性的初步的推理能力.
4.运算求解能力:会根据法则、公式进行正确运算、变形和数据处理,能根据问题的条件寻找与设计合理、简捷的运算途径,能根据要求对数据进行估计和近似计算.
运算求解能力是思维能力和运算技能的结合.运算包括对数字的计算、估值和近似计算,对式子的组合变形与分解变形,对几何图形各几何量的计算求解等.运算能力包括分析运算条件、探究运算方向、选择运算公式、确定运算程序等一系列过程中的思维能力,也包括在实施运算过程中遇到障碍而调整运算的能力.
5.数据处理能力:会收集、整理、分析数据,能从大量数据中抽取对研究问题有用的信息,并做出判断.
数据处理能力主要是指针对研究对象的特殊性,选择合理的收集数据的方法,根据问题的具体情况,选择合适的统计方法整理数据,并构建模型对数据进行分析、推断,获得结论.
6.应用意识:能综合应用所学数学知识、思想和方法解决问题,包括解决相关学科、生产、生活中简单的数学问题;能理解对问题陈述的材料,并对所提供的信息资料进行归纳、整理和分类,将实际问题抽象为数学问题;能应用相关的数学方法解决问题进而加以验证,并能用数学语言正确地表达和说明.应用的主要过程是依据现实的生活背景,提炼相关的数量关系,将现实问题转化为数学问题,构造数学模型,并加以解决.
7.创新意识:能发现问题、提出问题,综合与灵活地应用所学的数学知识、思想方法,选择有效的方法和手段分析信息,进行独立的思考、探索和研究,提出解决问题的思路,创造性地解决问题.
创新意识是理性思维的高层次表现.对数学问题的“观察、猜测、抽象、概括、证明”,是发现问题和解决问题的重要途径,对数学知识的迁移、组合、融会的程度越高,显示出的创新意识也就越强.
三、个性品质要求
个性品质是指考生个体的情感、态度和价值观.要求考生具有一定的数学视野,认识数学的科学价值和人文价值,崇尚数学的理性精神,形成审慎的思维习惯,体会数学的美学意义.
要求考生克服紧张情绪,以平和的心态参加考试,合理支配考试时间,以实事求是的科学态度解答试题,树立战胜困难的信心,体现锲而不舍的精神.
四、考查要求
数学学科的系统性和严密性决定了数学知识之间深刻的内在联系,包括各部分知识的纵向联系和横向联系,要善于从本质上抓住这些联系,进而通过分类、梳理、综合,构建数学试卷的框架结构.
1.对数学基础知识的考查,既要全面又要突出重点.对于支撑学科知识体系的重点内容,要占有较大的比例,构成数学试卷的主体.注重学科的内在联系和知识的综合性,不刻意追求知识的覆盖面.从学科的整体高度和思维价值的高度考虑问题,在知识网络的交汇点处设计试题,使对数学基础知识的考查达到必要的深度.
2.对数学思想方法的考查是对数学知识在更高层次上的抽象和概括的考查,考查时必须要与数学知识相结合,通过对数学知识的考查,反映考生对数学思想方法的掌握程度.
3.对数学能力的考查,强调“以能力立意”,就是以数学知识为载体,从问题入手,把握学科的整体意义,用统一的数学观点组织材料,侧重体现对知识的理解和应用,尤其是综合和灵活的应用,以此来检测考生将知识迁移到不同情境中去的能力,从而检测出考生个体理性思维的广度和深度以及进一步学习的潜能.
对能力的考查要全面,强调综合性、应用性,并要切合考生实际.对推理论证能力和抽象概括能力的考查贯穿于全卷,是考查的重点,强调其科学性、严谨性、抽象性;对空间想象能力的考查主要体现在对文字语言、符号语言及图形语言的互相转化上;对运算求解能力的考查主要是对算法和推理的考查,考查以代数运算为主;对数据处理能力的考查主要是考查运用概率统计的基本方法和思想解决实际问题的能力.
4.对应用意识的考查主要采用解决应用问题的形式.命题时要坚持“贴近生活,背景公平,控制难度”的原则,试题设计要切合中学数学教学的实际和考生的年龄特点,并结合实践经验,使数学应用问题的难度符合考生的水平.
5.对创新意识的考查是对高层次理性思维的考查.在考试中创设新颖的问题情境,构造有一定深度和广度的数学问题时,要注重问题的多样化,体现思维的发散性;精心设计考查数学主体内容、体现数学素质的试题;也要有反映数、形运动变化的试题以及研究型、探索型、开放型等类型的试题.
数学科的命题,在考查基础知识的基础上,注重对数学思想方法的考查,注重对数学能力的考查,展现数学的科学价值和人文价值,同时兼顾试题的基础性、综合性和应用性,重视试题间的层次性,合理调控综合程度,坚持多角度、多层次的考查,努力实现全面考查综合数学素养的要求.
本部分包括必考内容和选考内容两部分.必考内容为《课程标准》的必修内容和选修系列2的内容;选考内容为《课程标准》的选修系列4的 “坐标系与参数方程”“不等式选讲”等2个专题.
必考内容
(一)集合
1.集合的含义与表示
(1)了解集合的含义、元素与集合的属于关系.
(2)能用自然语言、图形语言、集合语言(列举法或描述法)描述不同的具体问题.
2.集合间的基本关系
(1)理解集合之间包含与相等的含义,能识别给定集合的子集.
(2)在具体情境中,了解全集与空集的含义.
3.集合的基本运算
(1)理解两个集合的并集与交集的含义,会求两个简单集合的并集与交集.
(2)理解在给定集合中一个子集的补集的含义,会求给定子集的补集.
(3)能使用韦恩(Venn)图表达集合的关系及运算.
(二)函数概念与基本初等函数Ⅰ(指数函数、对数函数、幂函数)
1.函数
(1)了解构成函数的要素,会求一些简单函数的定义域和值域;了解映射的概念.
(2)在实际情境中,会根据不同的需要选择恰当的方法(如图像法、列表法、解析法)表示函数.
(3)了解简单的分段函数,并能简单应用.
(4)理解函数的单调性、最大值、最小值及其几何意义;结合具体函数,了解函数奇偶性的含义.
(5)会运用函数图像理解和研究函数的性质.
2.指数函数
(1)了解指数函数模型的实际背景.
(2)理解有理指数幂的含义,了解实数指数幂的意义,掌握幂的运算.
(3)理解指数函数的概念,理解指数函数的单调性,掌握指数函数图像通过的特殊点.
(4)知道指数函数是一类重要的函数模型.
3.对数函数
(1)理解对数的概念及其运算性质,知道用换底公式能将一般对数转化成自然对数或常用对数;了解对数在简化运算中的作用.
(2)理解对数函数的概念,理解对数函数的单调性,掌握对数函数图像通过的特殊点.
(3)知道对数函数是一类重要的函数模型.
4.幂函数
(1)了解幂函数的概念.
5.函数与方程
(1)结合二次函数的图像,了解函数的零点与方程根的联系,判断一元二次方程根的存在性及根的个数.
(2)根据具体函数的图像,能够用二分法求相应方程的近似解.
6.函数模型及其应用
(1)了解指数函数、对数函数以及幂函数的增长特征,知道直线上升、指数增长、对数增长等不同函数类型增长的含义.
(2)了解函数模型(如指数函数、对数函数、幂函数、分段函数等在社会生活中普遍使用的函数模型)的广泛应用.
(三) 立体几何初步
1.空间几何体
(1)认识柱、锥、台、球及其简单组合体的结构特征,并能运用这些特征描述现实生活中简单物体的结构.
(2)能画出简单空间图形(长方体、球、圆柱、圆锥、棱柱等的简易组合)的三视图,能识别上述三视图所表示的立体模型,会用斜二侧法画出它们的直观图.
(3)会用平行投影与中心投影两种方法画出简单空间图形的三视图与直观图,了解空间图形的不同表示形式.
(4)会画某些建筑物的视图与直观图(在不影响图形特征的基础上,尺寸、线条等不作严格要求).
(5)了解球、棱柱、棱锥、台的表面积和体积的计算公式.
2.点、直线、平面之间的位置关系
(1)理解空间直线、平面位置关系的定义,并了解如下可以作为推理依据的公理和定理.
• 公理1:如果一条直线上的两点在一个平面内,那么这条直线上所有的点都在此平面内.
• 公理2:过不在同一条直线上的三点,有且只有一个平面.
• 公理3:如果两个不重合的平面有一个公共点,那么它们有且只有一条过该点的公共直线.
• 公理4:平行于同一条直线的两条直线互相平行.
• 定理:空间中如果一个角的两边与另一个角的两边分别平行,那么这两个角相等或互补.
(2)以立体几何的上述定义、公理和定理为出发点,认识和理解空间中线面平行、垂直的有关性质与判定定理.
理解以下判定定理.
• 如果平面外一条直线与此平面内的一条直线平行,那么该直线与此平面平行.
• 如果一个平面内的两条相交直线与另一个平面都平行,那么这两个平面平行.
• 如果一条直线与一个平面内的两条相交直线都垂直,那么该直线与此平面垂直.
• 如果一个平面经过另一个平面的垂线,那么这两个平面互相垂直.
理解以下性质定理,并能够证明.
• 如果一条直线与一个平面平行,那么经过该直线的任一个平面与此平面的交线和该直线平行.
• 如果两个平行平面同时和第三个平面相交,那么它们的交线相互平行.
• 垂直于同一个平面的两条直线平行.
• 如果两个平面垂直,那么一个平面内垂直于它们交线的直线与另一个平面垂直.
3.能运用公理、定理和已获得的结论证明一些空间图形的位置关系的简单命题.
(四)平面解析几何初步
1.直线与方程
(1)在平面直角坐标系中,结合具体图形,确定直线位置的几何要素.
(2)理解直线的倾斜角和斜率的概念,掌握过两点的直线斜率的计算公式.
(3)能根据两条直线的斜率判定这两条直线平行或垂直.
(4)掌握确定直线位置的几何要素,掌握直线方程的几种形式(点斜式、两点式及一般式),了解斜截式与一次函数的关系.
(5)能用解方程组的方法求两条相交直线的交点坐标.
(6)掌握两点间的距离公式、点到直线的距离公式,会求两条平行直线间的距离.
2.圆与方程
(1)掌握确定圆的几何要素,掌握圆的标准方程与一般方程.
(2)能根据给定直线、圆的方程判断直线与圆的位置关系;能根据给定两个圆的方程判断两圆的位置关系.
(3)能用直线和圆的方程解决一些简单的问题.
(4)初步了解用代数方法处理几何问题的思想.
3.空间直角坐标系
(1)了解空间直角坐标系,会用空间直角坐标表示点的位置.
(2)会推导空间两点间的距离公式.
(五) 算法初步
1.算法的含义、程序框图
(1)了解算法的含义,了解算法的思想.
(2)理解程序框图的三种基本逻辑结构:顺序、条件分支、循环.
2.基本算法语句
理解几种基本算法语句——输入语句、输出语句、赋值语句、条件语句、循环语句的含义.
(六) 统计
1.随机抽样
(1)理解随机抽样的必要性和重要性.
(2)会用简单随机抽样方法从总体中抽取样本;了解分层抽样和系统抽样方法.
2.用样本估计总体
(1)了解分布的意义和作用,会列频率分布表,会画频率分布直方图、频率折线图、茎叶图,理解它们各自的特点.
(2)理解样本数据标准差的意义和作用,会计算数据标准差.
(3)能从样本数据中提取基本的数字特征(如平均数、标准差),并给出合理的解释.
(4)会用样本的频率分布估计总体分布,会用样本的基本数字特征估计总体的基本数字特征,理解用样本估计总体的思想.
(5)会用随机抽样的基本方法和样本估计总体的思想解决一些简单的实际问题.
3.变量的相关性
(1)会做两个有关联变量的数据的散点图,会利用散点图认识变量间的相关关系.
(2)了解最小二乘法的思想,能根据给出的线性回归方程系数公式建立线性回归方程.
(七) 概率
1.事件与概率
(1)了解随机事件发生的不确定性和频率的稳定性,了解概率的意义,了解频率与概率的区别.
(2)了解两个互斥事件的概率加法公式.
2.古典概型
(1)理解古典概型及其概率计算公式.
(2)会计算一些随机事件所含的基本事件数及事件发生的概率.
3.随机数与几何概型
(1)了解随机数的意义,能运用模拟方法估计概率.
(2)了解几何概型的意义.
(八) 基本初等函数Ⅱ(三角函数)
1.任意角的概念、弧度制
(1)了解任意角的概念.
(2)了解弧度制的概念,能进行弧度与角度的互化.
2. 三角函数
(1)理解任意角三角函数(正弦、余弦、正切)的定义.
(6)了解三角函数是描述周期变化现象的重要函数模型,会用三角函数解决一些简单实际问题.
(九) 平面向量
1.平面向量的实际背景及基本概念
(1)了解向量的实际背景.
(2)理解平面向量的概念,理解两个向量相等的含义.
(3)理解向量的几何表示.
2.向量的线性运算
(1)掌握向量加法、减法的运算,并理解其几何意义.
(2)掌握向量数乘的运算及其几何意义,理解两个向量共线的含义.
(3)了解向量线性运算的性质及其几何意义.
3.平面向量的基本定理及坐标表示
(1)了解平面向量的基本定理及其意义.
(2)掌握平面向量的正交分解及其坐标表示.
(3)会用坐标表示平面向量的加法、减法与数乘运算.
(4)理解用坐标表示的平面向量共线的条件.
4.平面向量的数量积
(1)理解平面向量数量积的含义及其物理意义.
(2)了解平面向量的数量积与向量投影的关系.
(3)掌握数量积的坐标表达式,会进行平面向量数量积的运算.
(4)能运用数量积表示两个向量的夹角,会用数量积判断两个平面向量的垂直关系.
5.向量的应用
(1)会用向量方法解决某些简单的平面几何问题.
(2)会用向量方法解决简单的力学问题与其他一些实际问题.
(十) 三角恒等变换
1.和与差的三角函数公式
(1)会用向量的数量积推导出两角差的余弦公式.
(2)能利用两角差的余弦公式导出两角差的正弦、正切公式.
(3)能利用两角差的余弦公式导出两角和的正弦、余弦、正切公式,导出二倍角的正弦、余弦、正切公式,了解它们的内在联系.
2.简单的三角恒等变换
能运用上述公式进行简单的恒等变换(包括导出积化和差、和差化积、半角公式,但对这三组公式不要求记忆).
(十一) 解三角形
1.正弦定理和余弦定理
掌握正弦定理、余弦定理,并能解决一些简单的三角形度量问题.
2.应用
能够运用正弦定理、余弦定理等知识和方法解决一些与测量和几何计算有关的实际问题.
(十二) 数列
1.数列的概念和简单表示法
(1)了解数列的概念和几种简单的表示方法(列表、图像、通项公式).
(2)了解数列是自变量为正整数的一类函数.
2.等差数列、等比数列
(1)理解等差数列、等比数列的概念.
(2)掌握等差数列、等比数列的通项公式与前n项和公式.
(3)能在具体的问题情境中识别数列的等差关系或等比关系,并能用有关知识解决相应的问题.
(4)了解等差数列与一次函数、等比数列与指数函数的关系.
(十三) 不等式
1.不等关系
了解现实世界和日常生活中的不等关系,了解不等式(组)的实际背景.
2.一元二次不等式
(1)会从实际情境中抽象出一元二次不等式模型.
(2)通过函数图像了解一元二次不等式与相应的二次函数、一元二次方程的联系.
(3)会解一元二次不等式,对给定的一元二次不等式,会设计求解的程序框图.
3.二元一次不等式组与简单线性规划问题
(1)会从实际情境中抽象出二元一次不等式组.
(2)了解二元一次不等式的几何意义,能用平面区域表示二元一次不等式组.
(3)会从实际情境中抽象出一些简单的二元线性规划问题,并能加以解决.
(1)了解基本不等式的证明过程.
(2)会用基本不等式解决简单的最大(小)值问题.
(十四) 常用逻辑用语
1.命题及其关系
(1)理解命题的概念.
(2)了解“若p则q”形式的命题及其逆命题、否命题与逆否命题,会分析四种命题的相互关系.
(3)理解必要条件、充分条件与充要条件的意义.
2.简单的逻辑联结词
了解逻辑联结词“或”“且”“非”的含义.
3.全称量词与存在量词
(1)理解全称量词与存在量词的意义.
(2)能正确地对含有一个量词的命题进行否定.
(十五) 圆锥曲线与方程
1.圆锥曲线
(1)了解圆锥曲线的实际背景,了解圆锥曲线在刻画现实世界和解决实际问题中的作用.
(2)掌握椭圆、抛物线的定义、几何图形、标准方程及简单性质.
(3)了解双曲线的定义、几何图形和标准方程,知道它的简单几何性质.
(4)了解圆锥曲线的简单应用.
(5)理解数形结合的思想.
2.曲线与方程
了解方程的曲线与曲线的方程的对应关系.
(十六) 空间向量与立体几何
1.空间向量及其运算
(1)了解空间向量的概念,了解空间向量的基本定理及其意义,掌握空间向量的正交分解及其坐标表示.
(2)掌握空间向量的线性运算及其坐标表示.
(3)掌握空间向量的数量积及其坐标表示,能运用向量的数量积判断向量的共线与垂直.
2.空间向量的应用
(1)理解直线的方向向量与平面的法向量.
(2)能用向量语言表述直线与直线、直线与平面、平面与平面的垂直、平行关系.
(3)能用向量方法证明有关直线和平面位置关系的一些定理(包括三垂线定理).
(4)能用向量方法解决直线与直线、直线与平面、平面与平面的夹角的计算问题,了解向量方法在研究立体几何问题中的应用.
(十七) 导数及其应用
1.导数概念及其几何意义
(1)了解导数概念的实际背景.
(2)理解导数的几何意义.
2.导数的运算
3.导数在研究函数中的应用
(1)了解函数单调性和导数的关系;能利用导数研究函数的单调性,会求函数的单调区间(其中多项式函数一般不超过三次).
(2)了解函数在某点取得极值的必要条件和充分条件;会用导数求函数的极大值、极小值(其中多项式函数一般不超过三次);会求闭区间上函数的最大值、最小值(其中多项式函数一般不超过三次).
4.生活中的优化问题
会利用导数解决某些实际问题.
5.定积分与微积分基本定理
(1)了解定积分的实际背景,了解定积分的基本思想,了解定积分的概念.
(2)了解微积分基本定理的含义.
(十八) 推理与证明
1.合情推理与演绎推理
(1)了解合情推理的含义,能利用归纳和类比等进行简单的推理,了解合情推理在数学发现中的作用.
(2)了解演绎推理的重要性,掌握演绎推理的基本模式,并能运用它们进行一些简单推理.
(3)了解合情推理和演绎推理之间的联系和差异.
2.直接证明与间接证明
(1)了解直接证明的两种基本方法——分析法和综合法;了解分析法和综合法的思考过程、特点.
(2)了解间接证明的一种基本方法——反证法;了解反证法的思考过程、特点.
3.数学归纳法
了解数学归纳法的原理,能用数学归纳法证明一些简单的数学命题.
(十九) 数系的扩充与复数的引入
1.复数的概念
(1)理解复数的基本概念.
(2)理解复数相等的充要条件.
(3)了解复数的代数表示法及其几何意义.
2.复数的四则运算
(1)会进行复数代数形式的四则运算.
(2)了解复数代数形式的加、减运算的几何意义.
(二十) 计数原理
1.分类加法计数原理、分步乘法计数原理
(1)理解分类加法计数原理和分步乘法计数原理.
(2)会用分类加法计数原理或分步乘法计数原理分析和解决一些简单的实际问题.
2.排列与组合
(1)理解排列、组合的概念.
(2)能利用计数原理推导排列数公式、组合数公式.
(3)能解决简单的实际问题.
3.二项式定理
(1)能用计数原理证明二项式定理.
(2)会用二项式定理解决与二项展开式有关的简单问题.
(二十一) 概率与统计
1.概率
(1)理解取有限个值的离散型随机变量及其分布列的概念,了解分布列对于刻画随机现象的重要性.
(2)理解超几何分布及其导出过程,并能进行简单的应用.
(3)了解条件概率和两个事件相互独立的概念,理解n次独立重复试验的模型及二项分布,并能解决一些简单的实际问题.
(4)理解取有限个值的离散型随机变量均值、方差的概念,能计算简单离散型随机变量的均值、方差,并能解决一些实际问题.
(5)利用实际问题的直方图,了解正态分布曲线的特点及曲线所表示的意义.
2.统计案例
了解下列一些常见的统计方法,并能应用这些方法解决一些实际问题.
(1)独立性检验
了解独立性检验(只要求2×2列联表)的基本思想、方法及其简单应用.
(2)回归分析
了解回归分析的基本思想、方法及其简单应用.
选考内容
(一) 坐标系与参数方程
1.坐标系
(1)理解坐标系的作用.
(2)了解在平面直角坐标系伸缩变换作用下平面图形的变化情况.
(3)能在极坐标系中用极坐标表示点的位置,理解在极坐标系和平面直角坐标系中表示点的位置的区别,能进行极坐标和直角坐标的互化.
(4)能在极坐标系中给出简单图形的方程.通过比较这些图形在极坐标系和平面直角坐标系中的方程,理解用方程表示平面图形时选择适当坐标系的意义.
(5)了解柱坐标系、球坐标系中表示空间中点的位置的方法,并与空间直角坐标系中表示点的位置的方法相比较,了解它们的区别.
2.参数方程
(1)了解参数方程,了解参数的意义.
(2)能选择适当的参数写出直线、圆和圆锥曲线的参数方程.
(3)了解平摆线、渐开线的生成过程,并能推导出它们的参数方程.
(4)了解其他摆线的生成过程,了解摆线在实际中的应用,了解摆线在表示行星运动轨道中的作用.
(二) 不等式选讲
1.理解绝对值的几何意义,并能利用含绝对值不等式的几何意义证明以下不等式:
(此不等式通常称为平面三角不等式.)
3.会用参数配方法讨论柯西不等式的一般情形:
4.会用向量递归方法讨论排序不等式.
5.了解数学归纳法的原理及其使用范围,会用数学归纳法证明一些简单问题.
6.会用数学归纳法证明伯努利不等式:
了解当n为大于1的实数时伯努利不等式也成立.
7.会用上述不等式证明一些简单问题.能够利用平均值不等式、柯西不等式求一些特定函数的极值.
8.了解证明不等式的基本方法:比较法、综合法、分析法、反证法、放缩法.
